交易书籍,敬请期待

首页> 交易商汇评> 正文

日元汇率因首相不确定性而陷入震荡

2025-10-16 13:10:13

日元汇率因首相不确定性而陷入震荡

 

据日本媒体援引集体采访报道,美国财政部长斯科特·贝森特表示,如果日本央行继续实施正确的货币政策,日元将稳定在适当的水平。

 

据共同社和日经新闻报道,贝森特拒绝就日元汇率发表评论。本月,日元兑美元汇率下跌的速度至少是其他主要货币的两倍,10月10日触及1美元兑153.27日元的八个月低点。对日本央行近期加息的猜测消退是日元兑美元汇率下跌的一个关键因素。

 

据《日经新闻》报道,贝森特拒绝就日本央行行长上田和夫10月30日的下一步政策决定发表评论。据报道,这位行长只是表示上田非常有能力。

 

贝森特最近关于日本央行的言论比他8月份的语气要温和得多,当时他表示,日本央行在应对通胀方面落后了。这一言论再次提醒人们华盛顿在货币问题上的立场,因为唐纳德·特朗普总统偶尔会指责日本通过贬值本币来提升其贸易竞争优势。

 

日本政局不稳定是导致预期日本央行本月收紧政策的经济学家减少的主要原因。根据隔夜掉期市场价格,截至周四,交易员预计日本央行加息的可能性约为15%,而上月底的预期约为70 % 。

 

本月早些时候意外赢得执政自民党总裁选举的高市早苗,更有可能获得成为下一任首相所需的议会选票。公明党上周退出执政联盟后,高市加大了争取其他反对党支持的努力。预计议会将于下周选出新首相。

 

技术面分析:

 

微信功能不定期受限,要体验插件的同学请在加好友时备注下联系方式,方便我们回加!!!

 

黄金:昨天蓝色区域的动能突破买入效果还是比较显著的。另外,下方黄色扫流动性也差一点实现入场。日内继续保持较为积极的买入安排,buy limit关注4220附近,扫流动性后买入关注4190/4200区域。详细位置请咨询插件。

 黄金.png

 

(黄金 15min图)

插件每个交易日12:00-13:00更新,想要体验图中同款插件请联系V:Hana-fgfg  备注一下你的联系方式,方便我们回加

 

纳指:昨天我们插件提醒的蓝色突破回踩买入,能够实现一波效果;但此后价格继续下探24488,清扫了前低的流动性。日内我们继续保持抓短多的思路,突破24800之后注意回踩买入;以及24400-24500附近再扫荡之后的买入。详细位置请咨询插件。

 纳指.png

 

(纳指 15min图)

插件每个交易日12:00-13:00更新,想要体验图中同款插件请联系V:Hana-fgfg  备注备注一下你的联系方式,方便我们回加

 

 

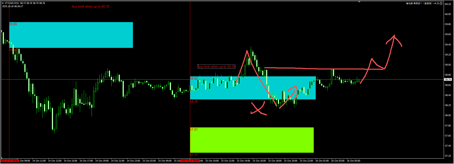
原油:昨天价格冲高回落之后,蓝色区域没有完成承接,回踩买入的策略失败。但随后价格再扫荡流动性之后又开始企稳回升。日内密切关注59附近的关键阻力表现,如果能够收复其上,日内还是应该尝试抓一次多头信号。详细位置请咨询插件。

 原油.png

 

(原油 15min图)

 

插件每个交易日12:00-13:00更新,想要体验图中同款插件请联系V:Hana-fgfg  备注备注一下你的联系方式,方便我们回加

 

 

今日重点关注的财经数据与事件:

 

20:30 美国上周季调后初请失业金人数(千人)(至1011)

 

20:30 美国9月生产者物价指数(年率)

 

20:30 美国9月零售销售(月率)

 

20:30 美国10月费城联储制造业指数

 

21:00 美国美联储理事沃勒发表讲话